楚雄州统计局 楚雄州发展和改革委员会
楚雄州环境保护局 中共楚雄州委组织部
(2018年8月30日)
根据中共楚雄州委办公室、楚雄州人民政府办公室印发的《楚雄州生态文明建设目标评价考核实施办法》和州发展改革委、州统计局、州环保局、州委组织部印发的《楚雄州绿色发展指标体系》《楚雄州生态文明建设考核目标体系》要求,现将2016年各县(市)生态文明建设年度评价结果公布如下:
表1 2016年各县(市)生态文明建设年度评价结果排序
|
绿色发展指数 |
|
资源利用指数 |
环境治理指数 |
环境质量指数 |
生态保护指数 |
增长质量指数 |
绿色生活指数 |
楚雄市 |
7 |
3 |
10 |
10 |
1 |
5 |
6 |
双柏县 |
2 |
6 |
2 |
3 |
4 |
6 |
5 |
牟定县 |
9 |
9 |
5 |
4 |
8 |
9 |
9 |
南华县 |
3 |
5 |
1 |
9 |
3 |
8 |
3 |
姚安县 |
6 |
7 |
4 |
6 |
2 |
1 |
10 |
大姚县 |
1 |
1 |
6 |
1 |
6 |
10 |
2 |
永仁县 |
5 |
4 |
7 |
5 |
7 |
2 |
4 |
元谋县 |
8 |
8 |
3 |
7 |
10 |
4 |
7 |
武定县 |
10 |
10 |
8 |
2 |
9 |
7 |
8 |
禄丰县 |
4 |
2 |
9 |
8 |
5 |
3 |
1 |
表2 2016年各县(市)生态文明建设年度评价结果
县市 |
绿色发展指数 |
|
资源利用指数 |
环境治理指数 |
环境质量指数 |
生态保护指数 |
增长质量指数 |
绿色生活指数 |
楚雄市 |
76.82 |
79.27 |
71.26 |
68.06 |
87.98 |
80.72 |
74.25 |
双柏县 |
80.96 |
76.12 |
86.07 |
84.41 |
85.70 |
78.46 |
74.86 |
牟定县 |
75.65 |
70.30 |
80.21 |
83.98 |
76.75 |
70.41 |
71.09 |
南华县 |
80.77 |
76.50 |
91.37 |
78.70 |
86.12 |
74.64 |
77.11 |
姚安县 |
79.49 |
74.47 |
80.88 |
82.58 |
86.32 |
83.93 |
70.67 |
大姚县 |
82.06 |
86.16 |
79.48 |
85.39 |
81.58 |
67.66 |
82.75 |
永仁县 |
79.68 |
78.57 |
78.51 |
82.67 |
81.11 |
81.95 |
75.09 |
元谋县 |
76.63 |
72.43 |
85.29 |
80.70 |
70.48 |
80.74 |
73.72 |
武定县 |
74.45 |
67.33 |
77.66 |
85.11 |
72.42 |
75.27 |
72.69 |
禄丰县 |
80.38 |
79.45 |
76.94 |
79.14 |
82.55 |
80.79 |
88.75 |
一、生态文明建设年度评价按照《楚雄州绿色发展指标体系》实施,绿色发展指数采用综合指数法进行测算。绿色发展指数包括资源利用、环境治理、环境质量、生态保护、增长质量、绿色生活6个方面,共52项评价指标。
(一)资源利用指数主要反映一个县(市)能源、水资源、建设用地的总量与强度双控要求和资源利用效率;
(二)环境治理指数重点反映一个县(市)主要污染物、危险废物、生活垃圾和污水的治理以及污染治理投资等情况;
(三)环境质量指数主要反映一个县(市)大气、水、土壤的环境质量状况;
(四)生态保护指数用来反映一个县(市)森林、草原、湿地、自然保护区、水土流失、土地沙化和矿山恢复等生态系统的保护与治理;
(五)增长质量指数主要反映一个县(市)宏观经济的增速、效率、效益、结构和动力;
(六)绿色生活指数主要反映一个县(市)绿色生活方式的转变以及生活环境的改善。
二、绿色发展指数的计算方法。
(一)计算个体指数。计算公式为:

其中Yi为第i个指标的个体指数,Xi为该指标在报告期的绿色发展统计指标值,Xi,max为该指标在报告期10个县(市)绿色发展统计指标值中的最大值,Xi,min为该指标在报告期10个县(市)绿色发展统计指标值中的最小值。
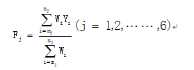
(二)对个体指数进行加权,计算6个分类指数。计算公式为:

其中Fj为第j个分类指数,Yi为指标Xi的个体指数,Wi为第i个指标Xi的权数,mj为第j个分类中第一个评价指标在整个评价体系中的序号,nj为第j个分类中最后一个评价指标在整个评价指标体系中的序号。
(三)对6个分类指数进行加权,得出绿色发展指数。计算公式为:

其中Z为绿色发展指数, Wi为Xi第i个指标Xi的权数。
三、单位GDP二氧化碳排放降低率、非化石能源消费占一次能源消费比重、县级及以上城市空气质量优良天数比率、细颗粒物(PM2.5)未达标县级及以上城市浓度降低率、受污染耕地安全利用率和城镇绿色建筑面积占新建建筑比重等6个指标,2016年暂无数据,为了体现公平性,其权数不变,指标的个体指数值赋为最低值60,参与指数计算。
对于没有危险废物处置利用率和可治理沙化土地治理率现象的县(市),经相关负责部门认定后,指标的个体指数值赋为最高值100,参与指数计算;对于有指标数据的县(市),按国家统计局下发的绿色发展指数计算方法(试行)进行计算。
四、本公报由州统计局会同有关部门负责解释